Architect Entry Level Education . This report focuses on the role of architectural education on the practice and career trajectories of architects. Start by researching and identifying accredited architecture programs. Becoming an architect typically involves the following steps: Please submit your application online. It reviews and analyzes interviews with five of the. For admission as a candidate for the b.a. Bachelor of arts in architecture. The basic degree essential for becoming an architect is the bachelor of architecture (barch).
from www.davidkowalski.nl
For admission as a candidate for the b.a. The basic degree essential for becoming an architect is the bachelor of architecture (barch). This report focuses on the role of architectural education on the practice and career trajectories of architects. Start by researching and identifying accredited architecture programs. It reviews and analyzes interviews with five of the. Bachelor of arts in architecture. Becoming an architect typically involves the following steps: Please submit your application online.
Entry Level Architect Resume Example Resume Example Gallery
Architect Entry Level Education Becoming an architect typically involves the following steps: This report focuses on the role of architectural education on the practice and career trajectories of architects. Becoming an architect typically involves the following steps: The basic degree essential for becoming an architect is the bachelor of architecture (barch). Bachelor of arts in architecture. Start by researching and identifying accredited architecture programs. For admission as a candidate for the b.a. Please submit your application online. It reviews and analyzes interviews with five of the.
From drlori7.wixsite.com
Entry Level Landscape Architect Architect Entry Level Education It reviews and analyzes interviews with five of the. The basic degree essential for becoming an architect is the bachelor of architecture (barch). Please submit your application online. For admission as a candidate for the b.a. This report focuses on the role of architectural education on the practice and career trajectories of architects. Bachelor of arts in architecture. Start by. Architect Entry Level Education.
From resumeworded.com
8 Architecture Resume Examples for 2023 Resume Worded Architect Entry Level Education Please submit your application online. Bachelor of arts in architecture. This report focuses on the role of architectural education on the practice and career trajectories of architects. Becoming an architect typically involves the following steps: Start by researching and identifying accredited architecture programs. The basic degree essential for becoming an architect is the bachelor of architecture (barch). It reviews and. Architect Entry Level Education.
From www.vrogue.co
Sample Resume Aws Solution Architect Resume Example G vrogue.co Architect Entry Level Education Becoming an architect typically involves the following steps: Please submit your application online. It reviews and analyzes interviews with five of the. For admission as a candidate for the b.a. The basic degree essential for becoming an architect is the bachelor of architecture (barch). This report focuses on the role of architectural education on the practice and career trajectories of. Architect Entry Level Education.
From resumelab.com
Architecture CV Examples—Sample, Guide and 25+ Writing Tips Architect Entry Level Education It reviews and analyzes interviews with five of the. Bachelor of arts in architecture. For admission as a candidate for the b.a. Becoming an architect typically involves the following steps: The basic degree essential for becoming an architect is the bachelor of architecture (barch). This report focuses on the role of architectural education on the practice and career trajectories of. Architect Entry Level Education.
From www.qwikresume.com
Junior Architect Resume Samples QwikResume Architect Entry Level Education This report focuses on the role of architectural education on the practice and career trajectories of architects. It reviews and analyzes interviews with five of the. Please submit your application online. For admission as a candidate for the b.a. Start by researching and identifying accredited architecture programs. Becoming an architect typically involves the following steps: The basic degree essential for. Architect Entry Level Education.
From www.jigsawcad.com
Let the experts talk about What level is a software architect [From Architect Entry Level Education The basic degree essential for becoming an architect is the bachelor of architecture (barch). Becoming an architect typically involves the following steps: For admission as a candidate for the b.a. It reviews and analyzes interviews with five of the. Bachelor of arts in architecture. This report focuses on the role of architectural education on the practice and career trajectories of. Architect Entry Level Education.
From www.resumeviking.com
Architect Resume Sample & Writing Guide Architect Entry Level Education Please submit your application online. Bachelor of arts in architecture. Start by researching and identifying accredited architecture programs. For admission as a candidate for the b.a. The basic degree essential for becoming an architect is the bachelor of architecture (barch). This report focuses on the role of architectural education on the practice and career trajectories of architects. Becoming an architect. Architect Entry Level Education.
From www.archdaily.com
Architecture Ranked as 10th Best EntryLevel Job out of 109 Professions Architect Entry Level Education For admission as a candidate for the b.a. Becoming an architect typically involves the following steps: The basic degree essential for becoming an architect is the bachelor of architecture (barch). This report focuses on the role of architectural education on the practice and career trajectories of architects. Bachelor of arts in architecture. It reviews and analyzes interviews with five of. Architect Entry Level Education.
From resumeworded.com
AWS Solutions Architect Resume Examples for 2024 Resume Worded Architect Entry Level Education The basic degree essential for becoming an architect is the bachelor of architecture (barch). Start by researching and identifying accredited architecture programs. Bachelor of arts in architecture. Becoming an architect typically involves the following steps: For admission as a candidate for the b.a. This report focuses on the role of architectural education on the practice and career trajectories of architects.. Architect Entry Level Education.
From www.davidkowalski.nl
Entry Level Architecture Resume Sample Resume Example Gallery Architect Entry Level Education For admission as a candidate for the b.a. Start by researching and identifying accredited architecture programs. Becoming an architect typically involves the following steps: Please submit your application online. This report focuses on the role of architectural education on the practice and career trajectories of architects. The basic degree essential for becoming an architect is the bachelor of architecture (barch).. Architect Entry Level Education.
From resumeworded.com
Architectural Intern/ Entry Level Architect Resume Examples for 2024 Architect Entry Level Education This report focuses on the role of architectural education on the practice and career trajectories of architects. For admission as a candidate for the b.a. Start by researching and identifying accredited architecture programs. The basic degree essential for becoming an architect is the bachelor of architecture (barch). Please submit your application online. Becoming an architect typically involves the following steps:. Architect Entry Level Education.
From blogs.qub.ac.uk
Which A levels should I take to study architecture? Architecture Architect Entry Level Education Please submit your application online. This report focuses on the role of architectural education on the practice and career trajectories of architects. For admission as a candidate for the b.a. Bachelor of arts in architecture. Start by researching and identifying accredited architecture programs. Becoming an architect typically involves the following steps: The basic degree essential for becoming an architect is. Architect Entry Level Education.
From www.studocu.com
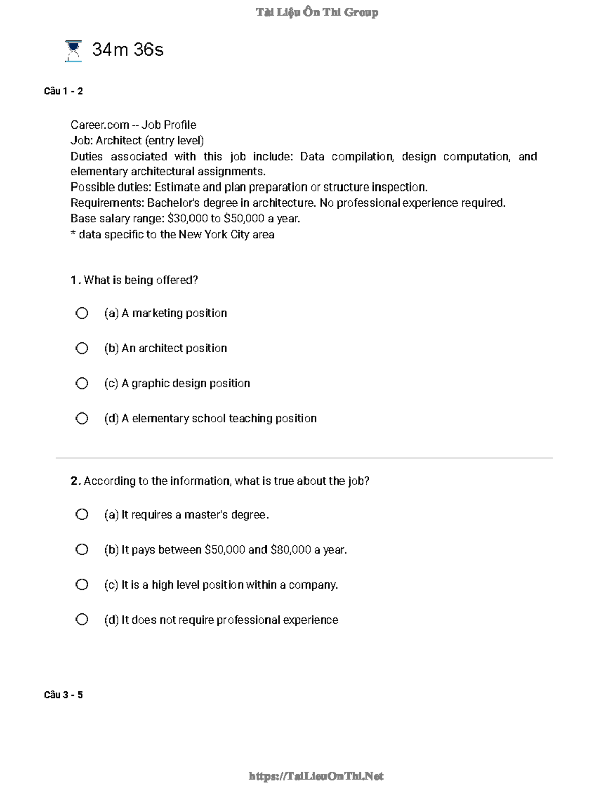
DE 1 wwwww 34m 36s Câu 1 2 Câu 3 5 Career Job Prole Job Architect Entry Level Education Please submit your application online. It reviews and analyzes interviews with five of the. Start by researching and identifying accredited architecture programs. This report focuses on the role of architectural education on the practice and career trajectories of architects. Becoming an architect typically involves the following steps: For admission as a candidate for the b.a. Bachelor of arts in architecture.. Architect Entry Level Education.
From www.getsetresumes.com
AWS Solution Architect Resume Examples & Template (with job winning tips) Architect Entry Level Education Bachelor of arts in architecture. It reviews and analyzes interviews with five of the. This report focuses on the role of architectural education on the practice and career trajectories of architects. Please submit your application online. The basic degree essential for becoming an architect is the bachelor of architecture (barch). For admission as a candidate for the b.a. Start by. Architect Entry Level Education.
From www.tealhq.com
9+ Solutions Architect Resume Examples [with Guidance] Architect Entry Level Education Start by researching and identifying accredited architecture programs. Bachelor of arts in architecture. Becoming an architect typically involves the following steps: The basic degree essential for becoming an architect is the bachelor of architecture (barch). For admission as a candidate for the b.a. It reviews and analyzes interviews with five of the. This report focuses on the role of architectural. Architect Entry Level Education.
From depidiomas.unitru.edu.pe
AWS Certified Solutions Architect Career Path IT, 47 OFF Architect Entry Level Education The basic degree essential for becoming an architect is the bachelor of architecture (barch). Please submit your application online. For admission as a candidate for the b.a. Becoming an architect typically involves the following steps: It reviews and analyzes interviews with five of the. Bachelor of arts in architecture. Start by researching and identifying accredited architecture programs. This report focuses. Architect Entry Level Education.
From resumeworded.com
AWS Cloud Practitioner Resume Examples for 2024 Resume Worded Architect Entry Level Education Becoming an architect typically involves the following steps: Please submit your application online. Bachelor of arts in architecture. This report focuses on the role of architectural education on the practice and career trajectories of architects. For admission as a candidate for the b.a. It reviews and analyzes interviews with five of the. The basic degree essential for becoming an architect. Architect Entry Level Education.
From www.whiteelysee.fr
Entry Level Bakers Position Resume Examples Resume Resume Designs Architect Entry Level Education The basic degree essential for becoming an architect is the bachelor of architecture (barch). This report focuses on the role of architectural education on the practice and career trajectories of architects. For admission as a candidate for the b.a. Please submit your application online. It reviews and analyzes interviews with five of the. Becoming an architect typically involves the following. Architect Entry Level Education.